Ssa Form 1372

Printable Ssa 10 Form Printable Forms Free Online

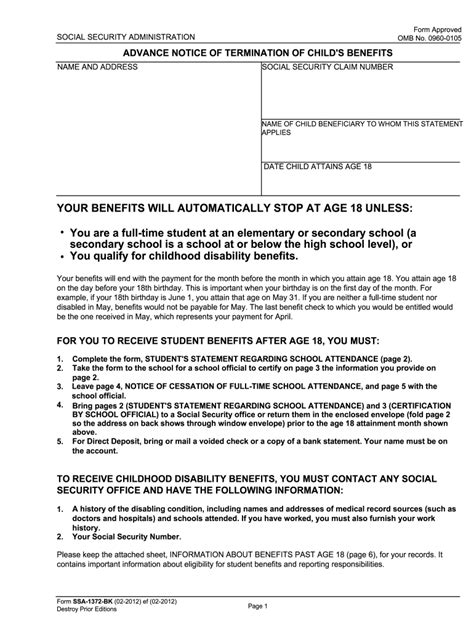
Ssa Form 1372. I received pages 5 and 6 of this form for reporting changes in the student's attendance. I annotated page 5 of this.

Printable Ssa 10 Form Printable Forms Free Online
Printable Ssa 10 Form Printable Forms Free Online

I annotated page 5 of this. I received pages 5 and 6 of this form for reporting changes in the student's attendance. Advanced notice of termination of child's benefits:

Advanced notice of termination of child's benefits: I annotated page 5 of this. Advanced notice of termination of child's benefits: I received pages 5 and 6 of this form for reporting changes in the student's attendance.